
Мультивейвлеты 

Мультивейвлеты (multiwavelets)
– это векторнозначное обобщение вейвлетов. Они предназначены для разложения
“многоканальных” сигналов, имеющих не одну, а несколько компонент. Впрочем,
к такому виду можно привести и скалярный сигнал (переходом к четным и
нечетным компонентам, например).
Мультивейвлеты определяются точно такими же (внешне!)
уравнениями рескейлинга, что и обычные вейвлеты.
,
Их привлекательность том, что они:
- Как и обычные вейвлеты, порождают МА.
- Сильнее локализованы в пространстве, что может
оказаться удобно в ряде задач (например, в матфизике).
- Допускают быстрый алгоритм преобразования (алгоритм
Малла с матричными коэффициентами дословно переносится на этот случай)
Однако построить мультивейвлеты оказалось сложнее, чем
обычные вейвлеты. Дело в том, что уравнения скейлинга имеют матричные
коэффициенты, которые не коммутируют между собой. Поэтому найти подходящий
набор коэффициентов, дающий гладкие решения уравнения рескейлинга, довольно
сложно. Первый пример ортогональных и непрерывных мультивейвлетов получен
Джеронимо, Хардином и Массопустом (Geronimo, Hardin, Massopust – GHM).
Скейлинг-функции и вейвлеты в их примере были кусочно-самоподобными, и
пример был построен с использованием методов из теории ИФС (итерационных
функциональных систем), порождающих, вообще говоря, фрактальные функции.
GHM-мультивейвлеты и скейлинг-функции показаны на рисунках 1 и 2:
Рисунок 1. Скейлинг – функции GHM.
Рисунок2. Мультивейвлеты GHM.
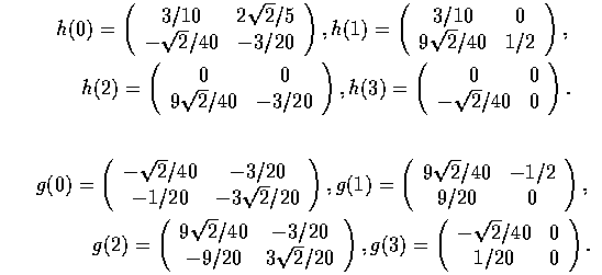
Коэффициенты уравнений рескейлинга таковы:
Фильтры, связанные с этими функциями, плохо локализованы
по частоте, однако их свойства можно улучшить простой предобработкой
сигнала. Совсем недавно Geronimo, Donovan, Hardin получили новое семейство
ортогональных мультивйвлетов, которые являются сплайнами с непрерывной
производной. Эта конструкция тоже довольно сложна, и использует
ортогональные многочлены. Уравнения рескейлинга содержат всего 4
коэффициента, но они являются матрицами (в порядке возрастания гладкости
вейвлетов) 4 – 10 порядков. Т.е., в последнем случае есть 10 скейлинг
функций и 10 вейвлетов, порождающих соответствующие пространства в МА.